Implemented the new feature, to create a parallel operations
See original GitHub issueHi @adrai,
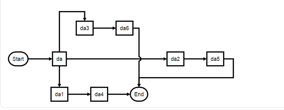
I have implemented the new feature. Added new type called “parallel” similar to the current “operations”. Using parallel type, we are able to connect one source[of type parallel] to multiple targets. I implemented to allow three connections from parallel.
In condition, we already have ‘yes’ or ‘no’. In parallel, I have implemented ‘path1’, ‘path2’ and ‘path3’.
Please find the below snippet,
Start=>start: Start\n
da=>parallel: da\n
da1=>operation: da1\n
da2=>operation: da2\n
da3=>operation: da3\n
da4=>operation: da4\n
da5=>operation: da5\n
da6=>operation: da6\n
End=>end: End\n
Start(right)->da\n
da(path1, right)->da1\n
da(path2, bottom)->da2\n
da(path3, top)->da3\n
da1(right)->da4\n
da2(right)->da5\n
da3(right)->da6\n
da4(right)->End\n
da5(right)->End\n
da6(right)->End\n
Please find the below attached screenshot,

Let me know so that I can create a PR with flowchart.symbol.parallel.js.
Thanks, Sudhakar
Issue Analytics
- State:
- Created 5 years ago
- Comments:5 (5 by maintainers)
Top Results From Across the Web
Parallel running - Wikipedia
Parallel running is a strategy for system changeover where a new system slowly assumes the roles of the older system while both systems...
Read more >What is Parallel Processing? - TechTarget
Parallel processing is a method in computing of running two or more processors (CPUs) to handle separate parts of an overall task.
Read more >Parallel Development at Scale: How to Achieve It - Perforce
Parallel development is working on multiple projects or features at the same time. This includes: Multiple teams. Parallel releases.
Read more >Parallel Processing in Python - A Practical Guide with Examples
Parallel processing is a mode of operation where the task is executed simultaneously in multiple processors in the same computer.
Read more >JFMIP White Paper: Parallel Operation of Software
With parallel operations, these new users would be required to learn to use two systems - the old and the new, and duplicate...
Read more >
Top Related Medium Post
No results found
Top Related StackOverflow Question
No results found
Troubleshoot Live Code
Lightrun enables developers to add logs, metrics and snapshots to live code - no restarts or redeploys required.
Start Free
Top Related Reddit Thread
No results found
Top Related Hackernoon Post
No results found
Top Related Tweet
No results found
Top Related Dev.to Post
No results found
Top Related Hashnode Post
No results found

Create a Pull Request directly on github: https://yangsu.github.io/pull-request-tutorial/
cool idea… Feel free to go ahead…