Integral limits with brackets don't work
See original GitHub issueI am trying to render an integral with limits that require subscripts so I’ll need to wrap them with braces. However, KaTeX is breaking whenever there are braces present in the limits:
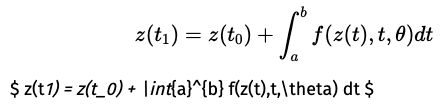
$$ z(t_1) = z(t_0) + \int_a^b f(z(t),t,\theta) dt $$ works
$$ z(t_1) = z(t_0) + \int_{a}^{b} f(z(t),t,\theta) dt $$ fails with no error.
In particular the only difference is the inclusion of braces in the limits (which will be needed for subscripts).

Issue Analytics
- State:
- Created 4 years ago
- Reactions:1
- Comments:9 (5 by maintainers)
Top Results From Across the Web
Is it required to use brackets inside an integral?
I disagree with the other answers here. ∫x2+2xdx. is not correct; the integral needs to be written as. ∫(x2+2x)dx. instead.
Read more >How to Integrate Brackets with Powers - YouTube
In this tutorial we will look at how you deal with integrals which involve brackets raised to a power. This will only consider...
Read more >How to do Integration by Parts with limits - YouTube
In this video, I'll show you some examples of how to do integration by Parts by with limits following some simple steps.By parts...
Read more >[Solved] Upper & lower limits after closing square bracket
I have no problem entering upper and lower limits to the integral (int) symbol. However, after evaluating the integral, the expression should be ......
Read more >What do the square brackets in integration mean? - Quora
and doesn't have any strict meaning. It just helps make the math look cleaner. Some subtle variations that look like square brackets but...
Read more >
Top Related Medium Post
No results found
Top Related StackOverflow Question
No results found
Troubleshoot Live Code
Lightrun enables developers to add logs, metrics and snapshots to live code - no restarts or redeploys required.
Start Free
Top Related Reddit Thread
No results found
Top Related Hackernoon Post
No results found
Top Related Tweet
No results found
Top Related Dev.to Post
No results found
Top Related Hashnode Post
No results found

Great! Glad you got it working.
Actually, @edemaine you are correct. I missed one
\_and doing so fixed it. Thanks! I will link this thread as an issue in remark.